Rút gọn N.
Quảng cáo
4 câu trả lời 444
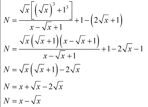
x-căn bậc 2 của x anh nhé . Em nhờ bạn em anh ạ
A҈N҈H҈ ☧H҈Ú☪︵²ᵏ⁷
· 4 năm trước
thanks em :")
Hiệu 2k9
· 4 năm trước
ko có chi
Hiệu 2k9
· 4 năm trước
Anh đăng tiếp câu hỏi đi
Quảng cáo
Bạn cần hỏi gì?
Câu hỏi hot cùng chủ đề
-
Đã trả lời bởi chuyên gia
7187 -
Đã trả lời bởi chuyên gia
6639 -
Đã trả lời bởi chuyên gia
6598 -
Đã trả lời bởi chuyên gia
5736 -
Đã trả lời bởi chuyên gia
5168 -
Đã trả lời bởi chuyên gia
5125 -
Đã trả lời bởi chuyên gia
4731
Gửi báo cáo thành công!



