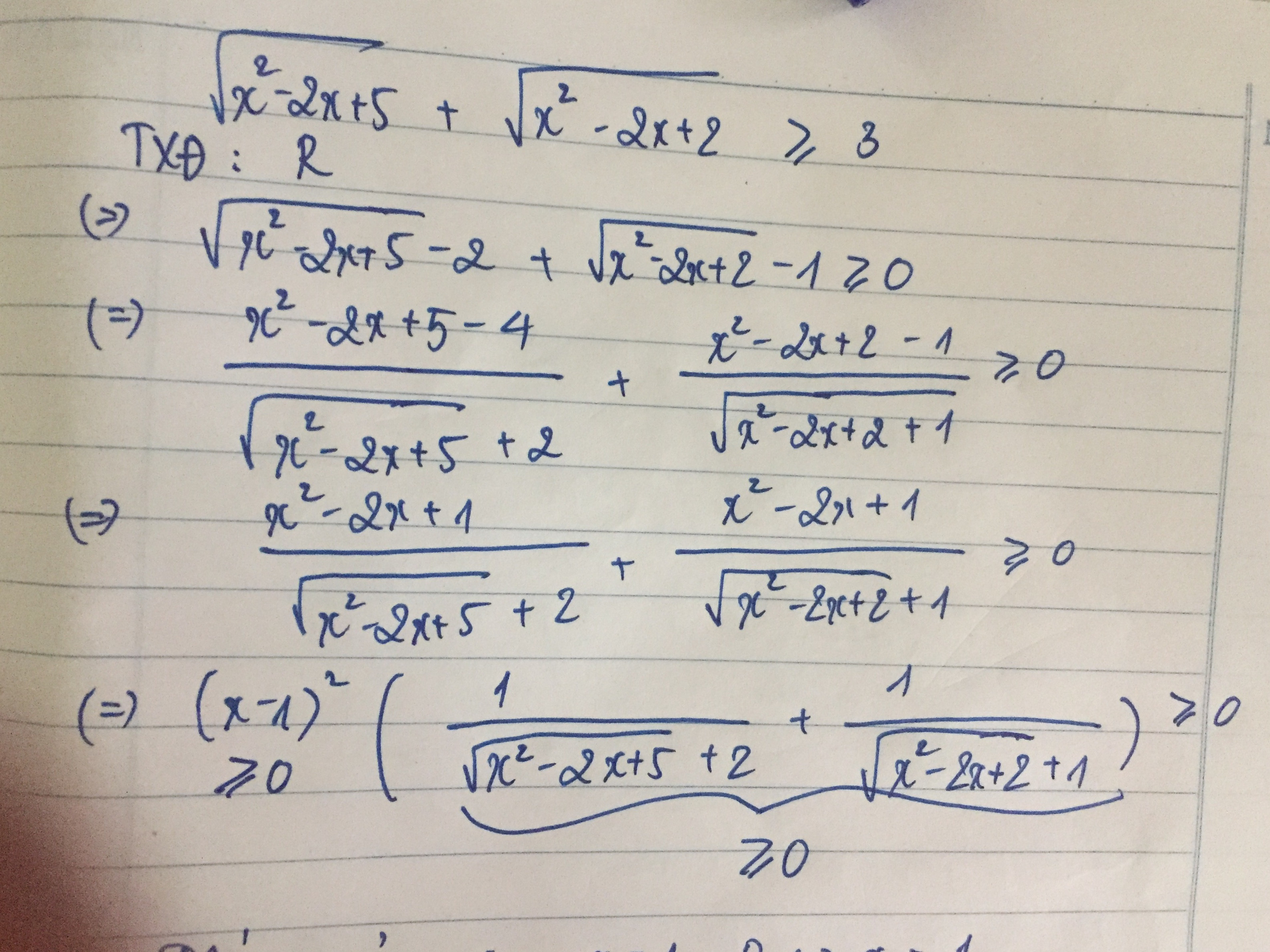
CMR với mọi x , ta có :
$\sqrt{x^{2}- 2x + 5}$ + $\sqrt{x^{2} - 2x + 2}$ $\geq$ 3
Quảng cáo
1 câu trả lời 451

vậy bpt nghiệm đúng với mọi x
Mike Duck Ter
· 4 năm trước
cảm ơn chị nhìu ạ
Quảng cáo
Bạn muốn hỏi bài tập?
Câu hỏi hot cùng chủ đề
-
5730
Gửi báo cáo thành công!
