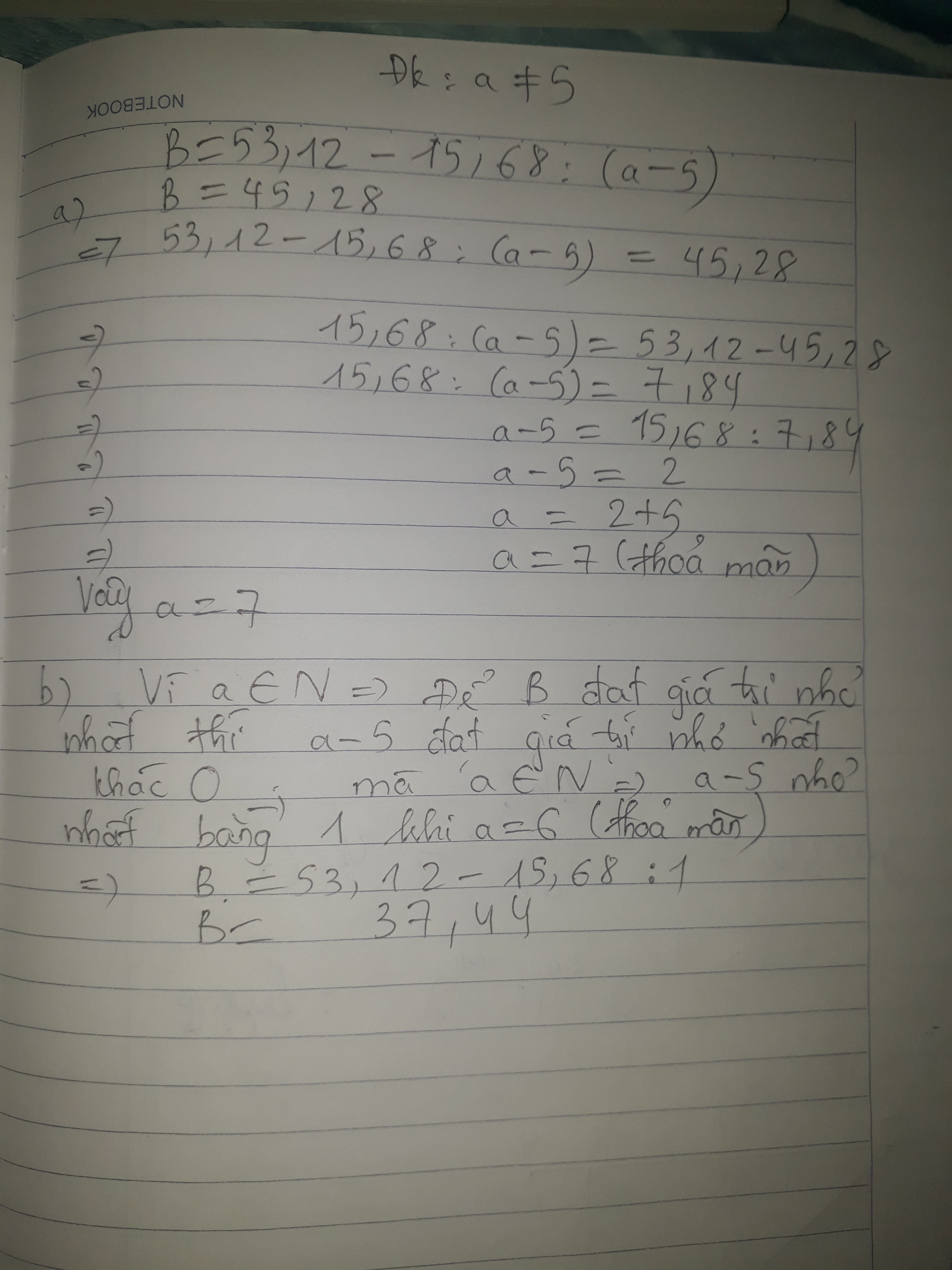
Cho biểu thức B = 53,12 - 15,68 ÷ ( a- 5 ) . a, Tìm a biết B = 45,28 . b, Tìm số tự nhiên a để biểu thức B đạt giá trị nhỏ nhất . Tìm giá trị nhỏ nhất
Quảng cáo
1 câu trả lời 676
Quảng cáo
Bạn muốn hỏi bài tập?
Câu hỏi hot cùng chủ đề
-
Đã trả lời bởi chuyên gia
63911 -
Hỏi từ APP VIETJACK
Đã trả lời bởi chuyên gia
58623 -
Đã trả lời bởi chuyên gia
49857 -
Đã trả lời bởi chuyên gia
46256 -
Đã trả lời bởi chuyên gia
40415 -
Đã trả lời bởi chuyên gia
36766 -
Đã trả lời bởi chuyên gia
30980 -
Hỏi từ APP VIETJACK
Đã trả lời bởi chuyên gia
30931
Gửi báo cáo thành công!

