mn giúp mk nha!
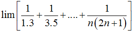
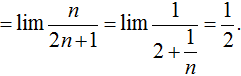
Tính giới hạn lim
Vinee
· 4 năm trước
a nói ai là ny a vậy
Quảng cáo
1 câu trả lời 494

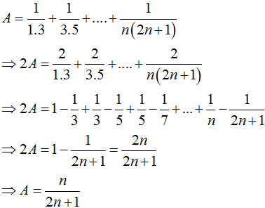
nên: 

A҈N҈H҈ ☧H҈Ú☪︵²ᵏ⁷
· 4 năm trước
bài này khó á, anh nhớ vote cho em đấy
A҈N҈H҈ ☧H҈Ú☪︵²ᵏ⁷
· 4 năm trước
người ta làm cho còn láo à
A҈N҈H҈ ☧H҈Ú☪︵²ᵏ⁷
· 4 năm trước
trẩu thế
A҈N҈H҈ ☧H҈Ú☪︵²ᵏ⁷
· 4 năm trước
vote 5* ik
Quảng cáo
Bạn cần hỏi gì?
Câu hỏi hot cùng chủ đề
-
Đã trả lời bởi chuyên gia
37989 -
Đã trả lời bởi chuyên gia
31755 -
Đã trả lời bởi chuyên gia
21092 -
Đã trả lời bởi chuyên gia
20626 -
Đã trả lời bởi chuyên gia
19411
Gửi báo cáo thành công!
