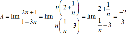
Giá trị của bằng:
Quảng cáo
1 câu trả lời 1949
Quảng cáo
Bạn cần hỏi gì?
Câu hỏi hot cùng chủ đề
-
Đã trả lời bởi chuyên gia
37951 -
Đã trả lời bởi chuyên gia
31738 -
Đã trả lời bởi chuyên gia
21082 -
Đã trả lời bởi chuyên gia
20593 -
Đã trả lời bởi chuyên gia
19406
Gửi báo cáo thành công!

