Quảng cáo
1 câu trả lời 3517
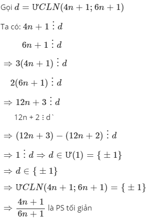
Hướng dẫn giải:

Hiếu Trần
· 3 năm trước
cảm ơn bạn nhé:))
86-N2-Mai Thị Ánh Hồng
· 1 năm trước
Mìh chưa hiểu 3(4n+1) thì 3 ở đâu
Quảng cáo
Bạn muốn hỏi bài tập?
Câu hỏi hot cùng chủ đề
-
Điền vào chỗ trống trong bảng thanh toán sau:
Số thứ tự Loại hàng Số lượng (quyển) Giá đơn vị (đồng) Tổng số tiền (đồng) 1 Vở loại 1 35 2000 ... 2 Vở loại 2 42 1500 ... 3 Vở loại 3 38 1200 ... Cộng: ... 169906 -
78694
-
35414
-
32344
Gửi báo cáo thành công!



