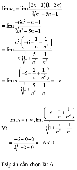
Cho dãy số với . Khi đó bằng?
A. −∞.
B. −1.
C. +∞.
D. .
Quảng cáo
1 câu trả lời 1239
Quảng cáo
Bạn muốn hỏi bài tập?
Câu hỏi hot cùng chủ đề
Gửi báo cáo thành công!
Cho dãy số với . Khi đó bằng?
A. −∞.
B. −1.
C. +∞.
D. .
Quảng cáo
Quảng cáo
Bạn muốn hỏi bài tập?