Quảng cáo
2 câu trả lời 181
4 năm trước
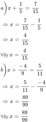
a) x= 7/15 - 1/5 b) x=5/11- (-4/9)
x=7/15-3/15 x=45/99+44/99
x=4/15. x=89/99
Vậy x=4/15. Vậy x=88/89
Quảng cáo
Bạn muốn hỏi bài tập?
Câu hỏi hot cùng chủ đề
-
Điền vào chỗ trống trong bảng thanh toán sau:
Số thứ tự Loại hàng Số lượng (quyển) Giá đơn vị (đồng) Tổng số tiền (đồng) 1 Vở loại 1 35 2000 ... 2 Vở loại 2 42 1500 ... 3 Vở loại 3 38 1200 ... Cộng: ... 170023 -
78717
-
35452
-
32348
Gửi báo cáo thành công!




