Quảng cáo
1 câu trả lời 7433
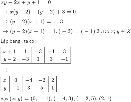
Hướng dẫn giải:

Bgoc Ng
· 1 năm trước
Ghi cách giải ra đc k ạ
Kiều Trí Anh
· 1 năm trước
ko
Kiều Trí Anh
· 1 năm trước
ko
Quảng cáo
Bạn cần hỏi gì?
Câu hỏi hot cùng chủ đề
-
Đã trả lời bởi chuyên gia
Điền vào chỗ trống trong bảng thanh toán sau:
Số thứ tự Loại hàng Số lượng (quyển) Giá đơn vị (đồng) Tổng số tiền (đồng) 1 Vở loại 1 35 2000 ... 2 Vở loại 2 42 1500 ... 3 Vở loại 3 38 1200 ... Cộng: ... 171615 -
Đã trả lời bởi chuyên gia
79661 -
Đã trả lời bởi chuyên gia
64164 -
Hỏi từ APP VIETJACK
Đã trả lời bởi chuyên gia
40462 -
Đã trả lời bởi chuyên gia
36325 -
Đã trả lời bởi chuyên gia
33083
Gửi báo cáo thành công!



