Quảng cáo
2 câu trả lời 322
Đáp án :
a)M⋮8a)M⋮8
b)M⋮24b)M⋮24
Giải thích các bước giải :
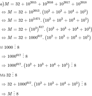
a)M=32+102015+102016+102017+102018a)M=32+102015+102016+102017+102018
⇔M=32+102013.(102+103+104+105)⇔M=32+102013.(102+103+104+105)
⇔M=32+103.671.(102+103+104+105)⇔M=32+103.671.(102+103+104+105)
⇔M=32+(103)617.(102+103+104+105)⇔M=32+(103)617.(102+103+104+105)
⇔M=32+1000617.(102+103+104+105)⇔M=32+1000617.(102+103+104+105)
Vì 1000⋮81000⋮8
⇒1000617⋮8⇒1000617⋮8
⇒1000617.(102+103+104+105)⋮8⇒1000617.(102+103+104+105)⋮8
Mà 32⋮832⋮8
⇒32+1000617.(102+103+104+105)⋮8⇒32+1000617.(102+103+104+105)⋮8
⇒M⋮8⇒M⋮8
b)M=32+102015+102016+102017+102018b)M=32+102015+102016+102017+102018
⇔M=32+¯¯¯¯¯¯¯¯¯¯¯100...0+¯¯¯¯¯¯¯¯¯¯¯100...0+¯¯¯¯¯¯¯¯¯¯¯100...0+¯¯¯¯¯¯¯¯¯¯¯100...0⇔M=32+100...0¯+100...0¯+100...0¯+100...0¯
⇔M=¯¯¯¯¯¯¯¯¯¯¯¯¯¯¯¯¯¯¯¯¯111100...032⇔M=111100...032¯
Tổng các chữ số của MM là :
1+1+1+1+0+0+...+0+3+2=9⋮31+1+1+1+0+0+...+0+3+2=9⋮3
⇒M⋮3⇒M⋮3
Mà M⋮8M⋮8
⇒M⋮24⇒M⋮24
Vậy : M⋮24
Quảng cáo
Bạn muốn hỏi bài tập?
Câu hỏi hot cùng chủ đề
-
Điền vào chỗ trống trong bảng thanh toán sau:
Số thứ tự Loại hàng Số lượng (quyển) Giá đơn vị (đồng) Tổng số tiền (đồng) 1 Vở loại 1 35 2000 ... 2 Vở loại 2 42 1500 ... 3 Vở loại 3 38 1200 ... Cộng: ... 170023 -
78717
-
35452
-
32348





