Quảng cáo
2 câu trả lời 246
4 năm trước
Bạn này kiểu gì ấy nhỉ. Tự hỏi hơn 20 câu rồi tự trả lời . Lại còn đúng nữa. Rảnh thiệt luôn
Quảng cáo
Bạn muốn hỏi bài tập?
Câu hỏi hot cùng chủ đề
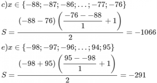
-
Điền vào chỗ trống trong bảng thanh toán sau:
Số thứ tự Loại hàng Số lượng (quyển) Giá đơn vị (đồng) Tổng số tiền (đồng) 1 Vở loại 1 35 2000 ... 2 Vở loại 2 42 1500 ... 3 Vở loại 3 38 1200 ... Cộng: ... 170023 -
78717
-
35452
-
32348
Gửi báo cáo thành công!




