Quảng cáo
5 câu trả lời 1806
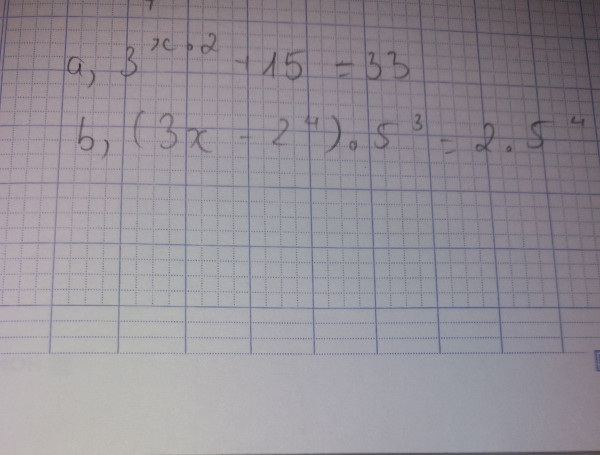
a. 3^x . 2 + 15 = 33
3^x . 2 = 33 - 15
3^x . 2 = 18
3^x = 18 : 2
3^x = 9
3^x = 3^2
=> x = 2
Đây là câu hỏi hả e
Kim chi
· 4 năm trước
3^x .2 là riêng chị nha
Kim chi
· 4 năm trước
3^x là 1 cái sau đó nhân với 2
๖ۣۜ₦α₥♂ツ˜”°º×
· 4 năm trước
Anh chứ ko phai cj
Đức Ngọc Huyền
· 4 năm trước
hoho
๖ۣۜ₦α₥♂ツ˜”°º×
· 4 năm trước
Hay thấy chữ a đẹp qua nên tưởng là cj
Thu Trang
· 4 năm trước
công nhận chữ đẹp thật
a) .2 + 15=33
<=> = 33-15 = 18
<=> = 18/2 = 9
<=> 3^x = 3^2 -> x=2
b) (3.x - 16 ) . 5^3 = 2 . 5^4
<=> 3x-16 = 2.5^4/5^3
<=> 3x = 10 + 16 = 26
<=> x = 26/3
Đặng Thị Minh Huyền
· 4 năm trước
nhìn nhầm thành 2,5^4 ấy
Đặng Thị Minh Huyền
· 4 năm trước
Để chị sửa lại
Peach Ly
· 4 năm trước
mới tham gia app à cj
Đặng Thị Minh Huyền
· 4 năm trước
Rồi nhá do đoạn sau chị bị lười xài math ấy nên viết thế luôn
Peach Ly
· 4 năm trước
mới tham gia app à cj
Kim chi
· 4 năm trước
Vâng ạ cảm ơn chị nhoa
a. 3^x . 2 + 15 = 33
3^x . 2 = 33 - 15
3^x . 2 = 18
3^x = 18 : 2
3^x = 9
3^x = 3^2
=> x = 2
Quảng cáo
Bạn cần hỏi gì?
Câu hỏi hot cùng chủ đề
-
Đã trả lời bởi chuyên gia
Điền vào chỗ trống trong bảng thanh toán sau:
Số thứ tự Loại hàng Số lượng (quyển) Giá đơn vị (đồng) Tổng số tiền (đồng) 1 Vở loại 1 35 2000 ... 2 Vở loại 2 42 1500 ... 3 Vở loại 3 38 1200 ... Cộng: ... 170202 -
Đã trả lời bởi chuyên gia
78790 -
Đã trả lời bởi chuyên gia
63239 -
Hỏi từ APP VIETJACK
Đã trả lời bởi chuyên gia
39549 -
Đã trả lời bởi chuyên gia
35527 -
Đã trả lời bởi chuyên gia
32400
Gửi báo cáo thành công!




