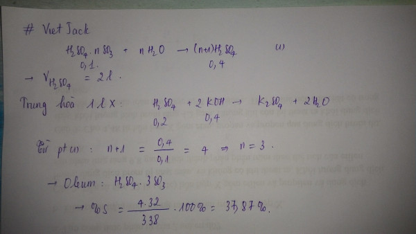
Cho 0,1 mol một loại hợp chất oleum vào nước thu được 2,0 lít dung dịch X. Để trung hoà 1 lít dung dịch X cần dùng 400 ml dung dịch KOH 1M. Phần trăm về khối lượng của nguyên tố lưu huỳnh trong oleum trên là
Quảng cáo
1 câu trả lời 9782
Quảng cáo
Bạn cần hỏi gì?
Câu hỏi hot cùng chủ đề
-
Hỏi từ APP VIETJACK105318
-
Hỏi từ APP VIETJACK
Đã trả lời bởi chuyên gia
64909 -
Đã trả lời bởi chuyên gia
59175 -
Đã trả lời bởi chuyên gia
42300 -
Hỏi từ APP VIETJACK
Đã trả lời bởi chuyên gia
39480
Gửi báo cáo thành công!

