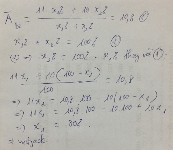
Nguyên tố Bo có 2 đồng vị 11B (x1%) và 10B (x2%), ngtử khối trung bình của Bo là 10,8. Giá trị của x1% là bao nhiêu
Quảng cáo
1 câu trả lời 1644
Quảng cáo
Bạn cần hỏi gì?
Câu hỏi hot cùng chủ đề
-
Hỏi từ APP VIETJACK99998
-
Hỏi từ APP VIETJACK
Đã trả lời bởi chuyên gia
64077 -
Đã trả lời bởi chuyên gia
58978 -
Đã trả lời bởi chuyên gia
42004 -
Hỏi từ APP VIETJACK
Đã trả lời bởi chuyên gia
39012
Gửi báo cáo thành công!

