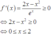
Cho hàm số f(x) = x2e-x. Bất phương trình có tập nghiệm là:
Quảng cáo
1 câu trả lời 3686
Quảng cáo
Bạn muốn hỏi bài tập?
Câu hỏi hot cùng chủ đề
Gửi báo cáo thành công!
Cho hàm số f(x) = x2e-x. Bất phương trình có tập nghiệm là:
Quảng cáo
Quảng cáo
Bạn muốn hỏi bài tập?