Cho x, y là các số thực dương thỏa mãn điều kiện .Tính giá trị nhỏ nhất của biểu thức
Quảng cáo
1 câu trả lời 324
Đáp án B.
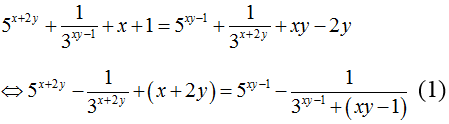
Từ giả thiết, suy ra
Xét hàm số trên .
Đạo hàm hàm số luôn đồng biến trên .
Suy ra
Do nên . Mà nên .
Từ đó . Xét hàm số trên .
Đạo hàm
Lập bảng biến thiên của hàm số trên , ta thấy .
Vậy khi và .
Quảng cáo
Bạn cần hỏi gì?
Câu hỏi hot cùng chủ đề
-
Đã trả lời bởi chuyên gia
104087 -
Đã trả lời bởi chuyên gia
94063 -
Đã trả lời bởi chuyên gia
66222 -
Đã trả lời bởi chuyên gia
26124 -
Đã trả lời bởi chuyên gia
19047 -
Đã trả lời bởi chuyên gia
13627
Gửi báo cáo thành công!
