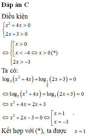
Số nghiệm của phương trình là
A. 2
B. 0
C. 1
D. 3
Quảng cáo
1 câu trả lời 1447
Quảng cáo
Bạn cần hỏi gì?
Câu hỏi hot cùng chủ đề
-
Đã trả lời bởi chuyên gia
104087 -
Đã trả lời bởi chuyên gia
94063 -
Đã trả lời bởi chuyên gia
66222 -
Đã trả lời bởi chuyên gia
26124 -
Đã trả lời bởi chuyên gia
19047 -
Đã trả lời bởi chuyên gia
13627
Gửi báo cáo thành công!
