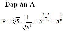
Cho a là số thực dương. Viết biểu thức dưới dạng lũy thừa cơ số a ta được kết quả
Quảng cáo
1 câu trả lời 2681
Quảng cáo
Bạn cần hỏi gì?
Câu hỏi hot cùng chủ đề
-
Đã trả lời bởi chuyên gia
104087 -
Đã trả lời bởi chuyên gia
94063 -
Đã trả lời bởi chuyên gia
66222 -
Đã trả lời bởi chuyên gia
26124 -
Đã trả lời bởi chuyên gia
19047 -
Đã trả lời bởi chuyên gia
13627
Gửi báo cáo thành công!
