Trong không gian với hệ trục tọa độ Oxyz, cho hai điểm A (1;1;0), B (0;-1;2). Biết rằng có hai mặt phẳng cùng đi qua hai điểm A, O và cùng cách B một khoảng bằng √3. Véctơ nào trong các véctơ dưới đây là một véctơ pháp tuyến của một trong hai mặt phẳng đó.
Quảng cáo
1 câu trả lời 804
Chọn C
Phương trình đường thẳng qua hai điểm A, O có dạng
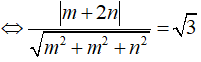
Gọi (P) là mặt phẳng cùng đi qua hai điểm A, O nên (P) : m (x-y)+nz=0, m²+n² > 0. Khi đó véctơ pháp tuyến của (P) có dạng
Vậy một véctơ pháp tuyến của một trong hai mặt phẳng đó là
Quảng cáo
Bạn cần hỏi gì?
Câu hỏi hot cùng chủ đề
-
Đã trả lời bởi chuyên gia
69393 -
Đã trả lời bởi chuyên gia
67790 -
Đã trả lời bởi chuyên gia
31001 -
Đã trả lời bởi chuyên gia
Trong không gian Oxyz, mặt cầu tâm I(-1;2;-3) và đi qua điểm A(2;0;0) có phương trình là:
A.
B.
C.
D.
28197 -
Đã trả lời bởi chuyên gia
16270
Gửi báo cáo thành công!
