Cho hình chóp S. ABCD có đáy ABCD là hình vuông cạnh a, mặt bên SAB là tam giác đều và nằm trong mặt phẳng vuông góc với mặt phẳng (ABCD). Gọi G là trọng tâm của tam giác SAB và M, N lần lượt là trung điểm của SC, SD. Tính côsin của góc giữa hai mặt phẳng (GMN) và (ABCD).

Quảng cáo
1 câu trả lời 2417
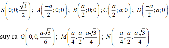
Chọn hệ trục tọa độ Oxyz như hình vẽ. Khi đó
Ta có mặt phẳng (ABCD) có vectơ pháp tuyến là , mặt phẳng (GMN) có vectơ pháp tuyến là
Gọi (α) là góc giữa hai mặt phẳng (GMN) và (ABCD), ta có
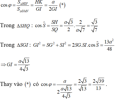
Gọi E, F lần lượt là hình chiếu của M và N lên (ABCD). Suy ra E, F lần lượt là trung điểm của HC, HD.
Gọi H, I lần lượt là trung điểm của AB, CD.
Mà d ⊥ (SIH) nên góc giữa góc giữa hai mặt phẳng (GMN) và (ABCD) là
Quảng cáo
Bạn cần hỏi gì?
Câu hỏi hot cùng chủ đề
-
Đã trả lời bởi chuyên gia
69393 -
Đã trả lời bởi chuyên gia
67790 -
Đã trả lời bởi chuyên gia
31001 -
Đã trả lời bởi chuyên gia
Trong không gian Oxyz, mặt cầu tâm I(-1;2;-3) và đi qua điểm A(2;0;0) có phương trình là:
A.
B.
C.
D.
28197 -
Đã trả lời bởi chuyên gia
16270
