Trong không gian Oxyz, mặt cầu (S) tâm I (2; 5; 3) cắt đường thẳng
tại hai điểm phân biệt A, B với chu vi tam giác IAB bằng 10 + 2 Phương trình nào sau đây là phương trình của mặt cầu (S)?
A. (x-2)²+ (y-5)²+ (z-3)²=100.
B. (x-2)²+ (y-5)²+ (z-2)²=7.
C. (x-2)²+ (y-5)²+ (z-3)²=25.
D. (x-2)²+ (y-5)²+ (z-3)²=28.
Quảng cáo
1 câu trả lời 642
Chọn C
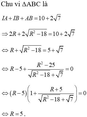
Gọi R là bán kính của mặt cầu, H là trung điểm của AB.
Mặt cầu (S) có tâm I (2; 5; 3), bán kính R = 5.
Phương trình mặt cầu (S) là:
nên phương trình có nghiệm duy nhất R=5.
Quảng cáo
Bạn cần hỏi gì?
Câu hỏi hot cùng chủ đề
-
Đã trả lời bởi chuyên gia
69393 -
Đã trả lời bởi chuyên gia
67790 -
Đã trả lời bởi chuyên gia
31001 -
Đã trả lời bởi chuyên gia
Trong không gian Oxyz, mặt cầu tâm I(-1;2;-3) và đi qua điểm A(2;0;0) có phương trình là:
A.
B.
C.
D.
28197 -
Đã trả lời bởi chuyên gia
16270
Gửi báo cáo thành công!
