Trong không gian Oxyz cho điểm M (1;3;-2). Hỏi có bao nhiêu mặt phẳng (P) đi qua M và cắt các trục x'Ox, y'Oy, z'Oz lần lượt tại ba điểm phân biệt A, B, C sao cho OA = OB = OC ≠ 0.
A. 1.
B. 2.
C. 4
D. 3.
Quảng cáo
1 câu trả lời 516
Chọn D
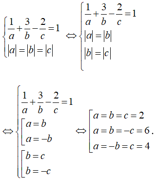
Gọi A (a;0;0), B (0;b;0); C (0;0;c). Ta có OA = |a|; |OB| = b; |OC| = |c|.
Phương trình mặt phẳng đi qua ba điểm A, B, C là
Theo giả thiết ta có điểm
Vì OA=OB=OC => |a| = |b| = |c| nên ta có hệ phương trình
Vậy có 3 mặt phẳng thỏa mãn.
Quảng cáo
Bạn cần hỏi gì?
Câu hỏi hot cùng chủ đề
-
Đã trả lời bởi chuyên gia
69393 -
Đã trả lời bởi chuyên gia
67790 -
Đã trả lời bởi chuyên gia
31001 -
Đã trả lời bởi chuyên gia
Trong không gian Oxyz, mặt cầu tâm I(-1;2;-3) và đi qua điểm A(2;0;0) có phương trình là:
A.
B.
C.
D.
28197 -
Đã trả lời bởi chuyên gia
16270
Gửi báo cáo thành công!
