Trong không gian Oxyz cho mặt cầu (S): (x-1)²+ (y-2)²+ (z-3)²=9 và mặt phẳng (P): 2x-2y+z+3=0. Gọi M (a;b;c) là điểm trên mặt cầu sao cho khoảng cách từ M đến (P) lớn nhất. Khi đó:
A. a+b+c=8.
B. a+b+c=5.
C. a+b+c=6.
D. a+b+c=7.
Quảng cáo
1 câu trả lời 7374
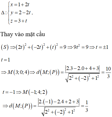
Mặt (S) cầu có tâm I (1;2;3), R=3.
mặt phẳng cắt mặt cầu theo một đường tròn
Gọi M (a;b;c) là điểm trên mặt cầu sao cho khoảng cách từ M đến (P) lớn nhất.
Khi M thuộc đường thẳng Δ vuông đi qua M và vuông góc với (P)
Vậy M (3;0;4) a + b + c = 7.
Quảng cáo
Bạn cần hỏi gì?
Câu hỏi hot cùng chủ đề
-
Đã trả lời bởi chuyên gia
69393 -
Đã trả lời bởi chuyên gia
67790 -
Đã trả lời bởi chuyên gia
31001 -
Đã trả lời bởi chuyên gia
Trong không gian Oxyz, mặt cầu tâm I(-1;2;-3) và đi qua điểm A(2;0;0) có phương trình là:
A.
B.
C.
D.
28197 -
Đã trả lời bởi chuyên gia
16270
Gửi báo cáo thành công!
