Trong không gian với hệ tọa độ Oxyz, cho hai điểm A (1;2;3), B (0;4;5). Gọi M là điểm sao cho MA=2MB. Khoảng cách từ điểm M đến mặt phẳng (P): 2x-2y-z+6=0 đạt giá trị nhỏ nhất xấp xỉ là bao nhiêu?
A.1,72
B.1,47
C.1,64
D.1,59
Quảng cáo
1 câu trả lời 2261
Chọn D
Gọi M (x;y;z).
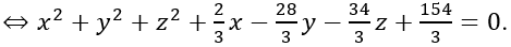
Ta có MA = 2MB nên (x-1)²+ (y-2)²+ (z-3)² = 4 [ x²+ (y-4)²+ (z-5)² ]
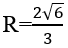
Suy ra tập hợp các điểm M thỏa mãn MA = 2MB là mặt cầu (S) có tâm và bán kính
Vì nên (P) không cắt (S).
Do đó, khoảng cách từ điểm M đến mặt phẳng (P): 2x-2y-z+6 = 0 đạt giá trị nhỏ nhất là:
Quảng cáo
Bạn cần hỏi gì?
Câu hỏi hot cùng chủ đề
-
Đã trả lời bởi chuyên gia
69393 -
Đã trả lời bởi chuyên gia
67790 -
Đã trả lời bởi chuyên gia
31001 -
Đã trả lời bởi chuyên gia
Trong không gian Oxyz, mặt cầu tâm I(-1;2;-3) và đi qua điểm A(2;0;0) có phương trình là:
A.
B.
C.
D.
28197 -
Đã trả lời bởi chuyên gia
16270
Gửi báo cáo thành công!
