Trong không gian với hệ tọa độ Oxyz, cho đường thẳng và hai điểm A(1; 2; -1); B (3; -1; -5). Gọi d là đường thẳng đi qua điểm A và cắt đường thẳng Δ sao cho khoảng cách từ điểm B đến đường thẳng d là lớn nhất. Phương trình đường thẳng d là:
D. Tất cả sai
Quảng cáo
1 câu trả lời 176
Chọn D
Xét hàm số:
Do đó d (B; d) nhỏ nhất khi f(t) đạt giá trị nhỏ nhất bằng 27 tại t = 2/3. Suy ra . Chọn một vectơ chỉ phương của đường thẳng d là
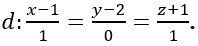
Vậy phương trình đường thẳng
Quảng cáo
Bạn cần hỏi gì?
Câu hỏi hot cùng chủ đề
-
Đã trả lời bởi chuyên gia
69393 -
Đã trả lời bởi chuyên gia
67790 -
Đã trả lời bởi chuyên gia
31001 -
Đã trả lời bởi chuyên gia
Trong không gian Oxyz, mặt cầu tâm I(-1;2;-3) và đi qua điểm A(2;0;0) có phương trình là:
A.
B.
C.
D.
28197 -
Đã trả lời bởi chuyên gia
16270
Gửi báo cáo thành công!
