Trong không gian với hệ trục tọa độ Oxyz cho 3 điểm A (1; 1; 1), B (0; 1; 2), C (-2; 1; 4) và mặt phẳng (P): x - y + z + 2 = 0. Tìm điểm N ∈ (P) sao cho S= NA2 + NB2 + NC2 đạt giá trị nhỏ nhất.
B. N (-2; 0; 1)
D. N (-1; 2; 1)
Quảng cáo
1 câu trả lời 407
Chọn D
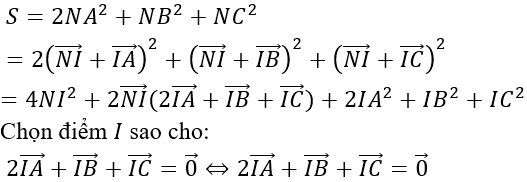
Với mọi điểm I ta có:
Suy ra tọa độ điểm I là (0; 1; 2). Khi đó , do đó S nhỏ nhất khi N là hình chiếu của I lên mặt phẳng (P) (chú ý: I là điểm cố định không đổi)
Phương trình đường thẳng đi qua I và vuông góc với mặt phẳng (P) là:
Quảng cáo
Bạn cần hỏi gì?
Câu hỏi hot cùng chủ đề
-
Đã trả lời bởi chuyên gia
69393 -
Đã trả lời bởi chuyên gia
67790 -
Đã trả lời bởi chuyên gia
31001 -
Đã trả lời bởi chuyên gia
Trong không gian Oxyz, mặt cầu tâm I(-1;2;-3) và đi qua điểm A(2;0;0) có phương trình là:
A.
B.
C.
D.
28197 -
Đã trả lời bởi chuyên gia
16270
Gửi báo cáo thành công!
