Cho lăng trụ đứng ABC.A'B'C' có đáy là tam giác ABC vuông cân tại A, cạnh BC = a√6. Góc giữa mặt phẳng (AB'C) và mặt phẳng (BCC'B') bằng 600. Tính thể tích V của khối lăng trụ ABC.A'B'C'?
Quảng cáo
1 câu trả lời 247
Chọn D
Vì tam giác ABC vuông cân tại A, cạnh BC = a√6 nên AB = AC = a√3.
Chọn hệ trục tọa độ Oxyz sao cho A (0;0;0), B (0; a√3; 0), C (a√3;0;0), A' (0;0;z) (z > 0).
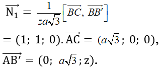
VTPT của (BCC'B') là:
VTPT của mặt phẳng (BA'C) là:
Vì góc giữa mặt phẳng và mặt phẳng bằng nên:
Vậy thể tích của khối lăng trụ ABC.A'B'C' là:
Quảng cáo
Bạn cần hỏi gì?
Câu hỏi hot cùng chủ đề
-
Đã trả lời bởi chuyên gia
69393 -
Đã trả lời bởi chuyên gia
67790 -
Đã trả lời bởi chuyên gia
31001 -
Đã trả lời bởi chuyên gia
Trong không gian Oxyz, mặt cầu tâm I(-1;2;-3) và đi qua điểm A(2;0;0) có phương trình là:
A.
B.
C.
D.
28197 -
Đã trả lời bởi chuyên gia
16270
Gửi báo cáo thành công!
