Trong không gian tọa độ Oxyz cho mặt cầu (S): x2 + y2 + z2 + 4x - 6y + m = 0 và đường thẳng Δ là giao tuyến của hai mặt phẳng (α): x + 2y - 2z - 4 = 0 và (β): 2x - 2y - z + 1 = 0. Đường thẳng Δ cắt mặt cầu (S) tại hai điểm phân biệt A, B thỏa mãn AB = 8 khi:
A. m = 12
B. m = -12
C. m = -10
D. m = 5
Quảng cáo
1 câu trả lời 1492
Chọn B
Phương trình (S): x2 + y2 + z2 + 4x - 6y + m = 0 là phương trình mặt cầu <=> m < 13
Khi đó (S) có tọa độ tâm I (-2;3;0) bán kính
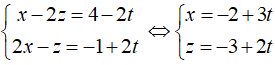
Gọi M (x;y;z) là điểm bất kỳ thuộc Δ.
Tọa độ M thỏa mãn hệ:
Đặt y = t ta có:
=> Δ có phương trình tham số:
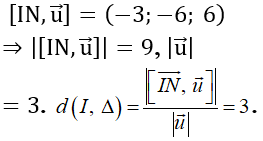
Δ đi qua điểm N (-2; 0; -3) và có vectơ chỉ phương
Giả sử mặt cầu (S) cắt Δ tại hai điểm phân biệt A, B sao cho AB = 8. Gọi (C) là đường tròn lớn chứa đường thẳng Δ. Khi đó IC2 = R2 - AC2 = 13 - m - 42 = -m - 3
N (0;-3;-3)
Vậy mặt cầu (S) cắt Δ tại hai điểm phân biệt A, B sao cho AB = 8
<=> -m - 3 = 9 <=> m = -12
Quảng cáo
Bạn cần hỏi gì?
Câu hỏi hot cùng chủ đề
-
Đã trả lời bởi chuyên gia
69393 -
Đã trả lời bởi chuyên gia
67790 -
Đã trả lời bởi chuyên gia
31001 -
Đã trả lời bởi chuyên gia
Trong không gian Oxyz, mặt cầu tâm I(-1;2;-3) và đi qua điểm A(2;0;0) có phương trình là:
A.
B.
C.
D.
28197 -
Đã trả lời bởi chuyên gia
16270
