Trong không gian Oxyz, cho hai điểm A(-1;2;1), B(1;2;-3) và đường thẳng d. Tìm vectơ chỉ phương của đường thẳng Δ đi qua điểm A và vuông góc với d đồng thời cách B một khoảng lớn nhất.
Quảng cáo
1 câu trả lời 579
Chọn A
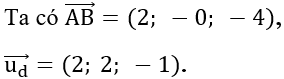
Gọi H là hình chiếu vuông góc của B lên Δ, lúc đó d(B, Δ) = BH ≤ BA
Do đó d(B, Δ) lớn nhất khi H ≡ A
Quảng cáo
Bạn cần hỏi gì?
Câu hỏi hot cùng chủ đề
-
Đã trả lời bởi chuyên gia
69393 -
Đã trả lời bởi chuyên gia
67790 -
Đã trả lời bởi chuyên gia
31001 -
Đã trả lời bởi chuyên gia
Trong không gian Oxyz, mặt cầu tâm I(-1;2;-3) và đi qua điểm A(2;0;0) có phương trình là:
A.
B.
C.
D.
28197 -
Đã trả lời bởi chuyên gia
16270
Gửi báo cáo thành công!
