Phương trình 4x + 2x(x - 7) - 4x + 12 = 0 có số nghiệm là?
A. 3
B. 1
C. 2
D. 4
Quảng cáo
1 câu trả lời 173
Chọn C.
Đặt t = 2x > 0 phương trình đã cho thành : t2 + (x - 7) t - 4x + 10 = 0 (1)
Coi (1) là phương trình bậc hai ẩn t, ta có
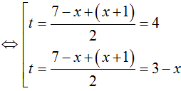
∆ = (x - 7) 2 - 4( -4x + 12) = (x + 1) 2 ≥ 0
Do đó (1)
+ TH1. T = 4 thì 2x = 4 nên x = 2
+ TH2. T = 3 thì t = 3 - x và 2x = 3 - x, theo câu trên ta được x = 1
Tóm lại, phương trình đã cho có nghiệm là 1 và 2.
Quảng cáo
Bạn cần hỏi gì?
Câu hỏi hot cùng chủ đề
-
Đã trả lời bởi chuyên gia
104103 -
Đã trả lời bởi chuyên gia
94073 -
Đã trả lời bởi chuyên gia
66238 -
Đã trả lời bởi chuyên gia
26134 -
Đã trả lời bởi chuyên gia
19056 -
Đã trả lời bởi chuyên gia
13634
Gửi báo cáo thành công!
