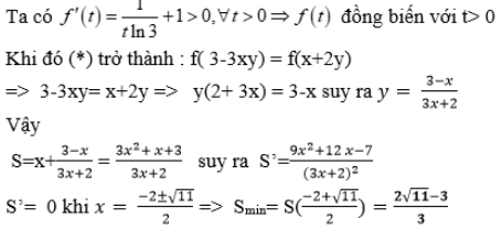
Xét các số thực dương thỏa mãn . Tìm giá trị nhỏ nhất Smin của S = x + y
A.
B.
C.
D. Đáp án khác
Quảng cáo
1 câu trả lời 1096
Quảng cáo
Bạn cần hỏi gì?
Câu hỏi hot cùng chủ đề
-
Đã trả lời bởi chuyên gia
104103 -
Đã trả lời bởi chuyên gia
94073 -
Đã trả lời bởi chuyên gia
66238 -
Đã trả lời bởi chuyên gia
26134 -
Đã trả lời bởi chuyên gia
19056 -
Đã trả lời bởi chuyên gia
13634
Gửi báo cáo thành công!
