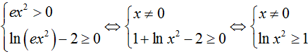
Tập xác định của hàm số là:
A.
B.
C.
D.
Quảng cáo
1 câu trả lời 408
Quảng cáo
Bạn cần hỏi gì?
Câu hỏi hot cùng chủ đề
-
Đã trả lời bởi chuyên gia
104103 -
Đã trả lời bởi chuyên gia
94073 -
Đã trả lời bởi chuyên gia
66238 -
Đã trả lời bởi chuyên gia
26134 -
Đã trả lời bởi chuyên gia
19056 -
Đã trả lời bởi chuyên gia
13634
Gửi báo cáo thành công!
