Tìm tất cả các giá trị của tham số m sao cho hàm số đồng biến trên khoảng
A. 1 < m < 2
B.
C.
D. 1 ≤ m ≤ 2
Quảng cáo
1 câu trả lời 249
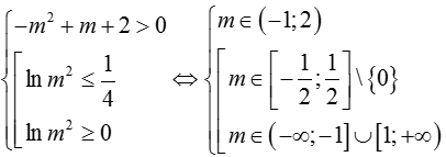
Chọn C.
+ Khi m = 0 thì có
. Thỏa yêu cầu bài toán.
+ Khi m ≠ 0 ta có ĐK là ex ≠ m2 hay x ≠ ln m2 , ta có
Yêu cầu bài toán tương đương
Quảng cáo
Bạn cần hỏi gì?
Câu hỏi hot cùng chủ đề
-
Đã trả lời bởi chuyên gia
104103 -
Đã trả lời bởi chuyên gia
94073 -
Đã trả lời bởi chuyên gia
66238 -
Đã trả lời bởi chuyên gia
26134 -
Đã trả lời bởi chuyên gia
19056 -
Đã trả lời bởi chuyên gia
13634
Gửi báo cáo thành công!
