Cho x; y > 0 thỏa mãn log2x + log2y = log4( x + y) Tìm x; y để biểu thức P = x2 + y2 đạt giá trị nhỏ nhất.
A.
B.
C. x = y= 1
D.
Quảng cáo
1 câu trả lời 625
Chọn A.
Theo đầu bài ta có : 2log2xy = log2(x + y) hay x + y = (xy) 2
Đặt u = x + y và v = xy ta có điều kiện u2 - 4v ≥ 0 ; u > 0; v > 0.
Mà u = v2 nên v4 - 4v ≥ 0 suy ra
Ta có P = v4 - 2v = g(v) với
Đạo hàm g’(v) = 4v3-2 > 0 với mọi
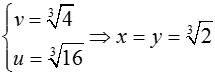
nên khi
Quảng cáo
Bạn cần hỏi gì?
Câu hỏi hot cùng chủ đề
-
Đã trả lời bởi chuyên gia
104103 -
Đã trả lời bởi chuyên gia
94073 -
Đã trả lời bởi chuyên gia
66238 -
Đã trả lời bởi chuyên gia
26134 -
Đã trả lời bởi chuyên gia
19056 -
Đã trả lời bởi chuyên gia
13634
Gửi báo cáo thành công!
