Cho f(1) = 1; f(m + n) = f(m) + f( n) + m.n với các số nguyên dương m; n .Khi đó giá trị của biểu thức là
A. 3
B. 4
C. 6
D. 9
Quảng cáo
1 câu trả lời 206
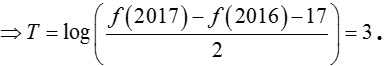
Chọn A.
Áp dụng hệ thức f(m + n) = f( m) + f( n) + mn
Vậy f( 2017) = 2017 + 2016.2017/2 = 20352153
f( 2016) = 2016 + 2015 + 2016/2 = 2033136
Quảng cáo
Bạn cần hỏi gì?
Câu hỏi hot cùng chủ đề
-
Đã trả lời bởi chuyên gia
104103 -
Đã trả lời bởi chuyên gia
94073 -
Đã trả lời bởi chuyên gia
66238 -
Đã trả lời bởi chuyên gia
26134 -
Đã trả lời bởi chuyên gia
19056 -
Đã trả lời bởi chuyên gia
13634
Gửi báo cáo thành công!
