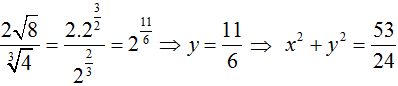
Viết biểu thức về dạng và biểu thức về dạng 2y. Ta có x + y bằng
A.
B.
C.
D.
Quảng cáo
1 câu trả lời 2245
Quảng cáo
Bạn cần hỏi gì?
Câu hỏi hot cùng chủ đề
-
Đã trả lời bởi chuyên gia
104135 -
Đã trả lời bởi chuyên gia
94098 -
Đã trả lời bởi chuyên gia
66266 -
Đã trả lời bởi chuyên gia
26145 -
Đã trả lời bởi chuyên gia
19060 -
Đã trả lời bởi chuyên gia
13639
Gửi báo cáo thành công!
