Biết tập nghiệm S của bất phương trình log0,3( 4x2) ≥ log0,3( 12x-5) là một đoạn. Gọi m, M lần lượt là giá trị nhỏ nhất, lớn nhất của tập S. Mối liên hệ giữa m và M là
A. M+ n= 3
B.M+ n= 2
C.M- n= 3
D. M- n=1
Quảng cáo
1 câu trả lời 605
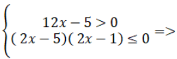
Chọn A.
=> Tập nghiệm của bất phương trình:
Quảng cáo
Bạn cần hỏi gì?
Câu hỏi hot cùng chủ đề
-
Đã trả lời bởi chuyên gia
104155 -
Đã trả lời bởi chuyên gia
94109 -
Đã trả lời bởi chuyên gia
66286 -
Đã trả lời bởi chuyên gia
26149 -
Đã trả lời bởi chuyên gia
19063 -
Đã trả lời bởi chuyên gia
13642
Gửi báo cáo thành công!
