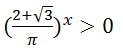
Cho hàm số . Khẳng định nào sau đây là sai.
A. Đồ thị hàm số đã cho nằm trên trục Ox
B. Đồ thị hàm số đã cho nhận trục tung là đường tiệm cận
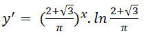
C. Đạo hàm của hàm số đã cho là
D. Đạo hàm đã cho đồng biến trên R.
Quảng cáo
1 câu trả lời 214
Chọn B
+ Ta có hàm số đã cho có nên nó đồng biến trên R.
+Do với mọi x nên đồ thị hàm số đã cho nằm trên trục Ox
+ Đồ thị hàm số đã cho nhận đường thẳng y = 0 (trục hoành) là tiệm cận ngang.
+ Đạo hàm của hàm số đã cho là
Quảng cáo
Bạn cần hỏi gì?
Câu hỏi hot cùng chủ đề
-
Đã trả lời bởi chuyên gia
104103 -
Đã trả lời bởi chuyên gia
94073 -
Đã trả lời bởi chuyên gia
66238 -
Đã trả lời bởi chuyên gia
26134 -
Đã trả lời bởi chuyên gia
19056 -
Đã trả lời bởi chuyên gia
13634
Gửi báo cáo thành công!
