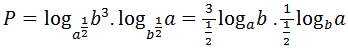
Tính giá trị của biểu thức
A. -18
B.
C. 18
D.
Quảng cáo
1 câu trả lời 371
Quảng cáo
Bạn cần hỏi gì?
Câu hỏi hot cùng chủ đề
-
Đã trả lời bởi chuyên gia
104155 -
Đã trả lời bởi chuyên gia
94109 -
Đã trả lời bởi chuyên gia
66286 -
Đã trả lời bởi chuyên gia
26149 -
Đã trả lời bởi chuyên gia
19063 -
Đã trả lời bởi chuyên gia
13642
Gửi báo cáo thành công!
