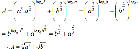
Thu gọn biểu thức
ta được:
Quảng cáo
1 câu trả lời 273
Quảng cáo
Bạn cần hỏi gì?
Câu hỏi hot cùng chủ đề
-
Đã trả lời bởi chuyên gia
104155 -
Đã trả lời bởi chuyên gia
94109 -
Đã trả lời bởi chuyên gia
66286 -
Đã trả lời bởi chuyên gia
26149 -
Đã trả lời bởi chuyên gia
19063 -
Đã trả lời bởi chuyên gia
13642
Gửi báo cáo thành công!
