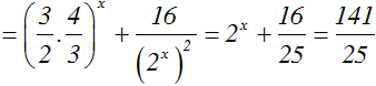
Biết rằng 2x = 5. Tính giá trị của biểu thức 
A. A = 28/5
B. A = 31/3
C. A = 6
D. A = 141/25
Quảng cáo
1 câu trả lời 138
Quảng cáo
Bạn cần hỏi gì?
Câu hỏi hot cùng chủ đề
-
Đã trả lời bởi chuyên gia
104155 -
Đã trả lời bởi chuyên gia
94109 -
Đã trả lời bởi chuyên gia
66286 -
Đã trả lời bởi chuyên gia
26149 -
Đã trả lời bởi chuyên gia
19063 -
Đã trả lời bởi chuyên gia
13642
Gửi báo cáo thành công!
