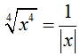
Với giá trị nào của thì đẳng thức
đúng
A. x ≠ 0
B. x ≥ 0
C. x = ± 1
D. Không có giá trị nào
Quảng cáo
1 câu trả lời 205
Quảng cáo
Bạn cần hỏi gì?
Câu hỏi hot cùng chủ đề
-
Đã trả lời bởi chuyên gia
104155 -
Đã trả lời bởi chuyên gia
94109 -
Đã trả lời bởi chuyên gia
66286 -
Đã trả lời bởi chuyên gia
26149 -
Đã trả lời bởi chuyên gia
19063 -
Đã trả lời bởi chuyên gia
13642
Gửi báo cáo thành công!
