a) C = (3x – 1)2 + (3x + 1)2 – 2(3x – 1)(3x + 1);
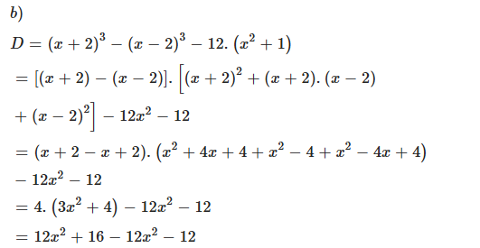
b) D = (x + 2)3 – (x – 2)3 – 12(x2 + 1);
c) E = (x + 3)(x2 – 3x + 9) – (x – 2)(x2 + 2x + 4);
d) G = (2x – 1)(4x2 + 2x + 1) – 8(x + 2)(x2 – 2x + 4).
T và cái chuồng bò
· 6 tháng trước
lập acc bên hoidap đi cậu, trên này cx chỉ có đáp án thôi chứ lời giải ko chi tiết đâu
T và cái chuồng bò
· 6 tháng trước
với cả cách trbay ko sát với cách thi
Quảng cáo
2 câu trả lời 223
a) Ta có C = (3x – 1)2 + (3x + 1)2 – 2(3x – 1)(3x + 1)
= [(3x – 1) – (3x + 1)]2 = (3x – 1 – 3x – 1)2
= (– 1 – 1)2 = (–2)2 = 4.
Vậy biểu thức C không phụ thuộc vào biến x.

dangt.7_
· 6 tháng trước
dibivicilili
cái gì đây, lại dưa muối à?
· 6 tháng trước
thatuidicau
dangt.7_
· 6 tháng trước
Đang chơi vui mà đi đâu đấy
dangt.7_
· 6 tháng trước
Tự nhiên afk vậy cha
cái gì đây, lại dưa muối à?
· 6 tháng trước
nặng máy vl ra
cái gì đây, lại dưa muối à?
· 6 tháng trước
tải tốc chiến đi
cái gì đây, lại dưa muối à?
· 6 tháng trước
mà chơi liên minh làm gì
dangt.7_
· 6 tháng trước
Thấy có nhỏ Jinx xinh nên t chơi
dangt.7_
· 6 tháng trước
Duy Anh rủ t nên chơi đó=)))))))))))))))))))))))))))))
cái gì đây, lại dưa muối à?
· 6 tháng trước
hơn 20 cái tbao của m đó thg l
dangt.7_
· 6 tháng trước
Mới mua Yashua chơi đi m
cái gì đây, lại dưa muối à?
· 6 tháng trước
yasuo bố ơi
cái gì đây, lại dưa muối à?
· 6 tháng trước
chơi nhiều hơn t mà t còn bt
dangt.7_
· 6 tháng trước
Câm đi con gà thì biết cái gì 🥱
cái gì đây, lại dưa muối à?
· 6 tháng trước
bố ơi gần 20t rồi đấy
cái gì đây, lại dưa muối à?
· 6 tháng trước
nói chuyện còn k bằng cháu t nữa
Quảng cáo
Bạn cần hỏi gì?
Câu hỏi hot cùng chủ đề
-
Đã trả lời bởi chuyên gia
17727 -
Đã trả lời bởi chuyên gia
8237 -
Đã trả lời bởi chuyên gia
8212
Gửi báo cáo thành công!
