Quảng cáo
3 câu trả lời 149
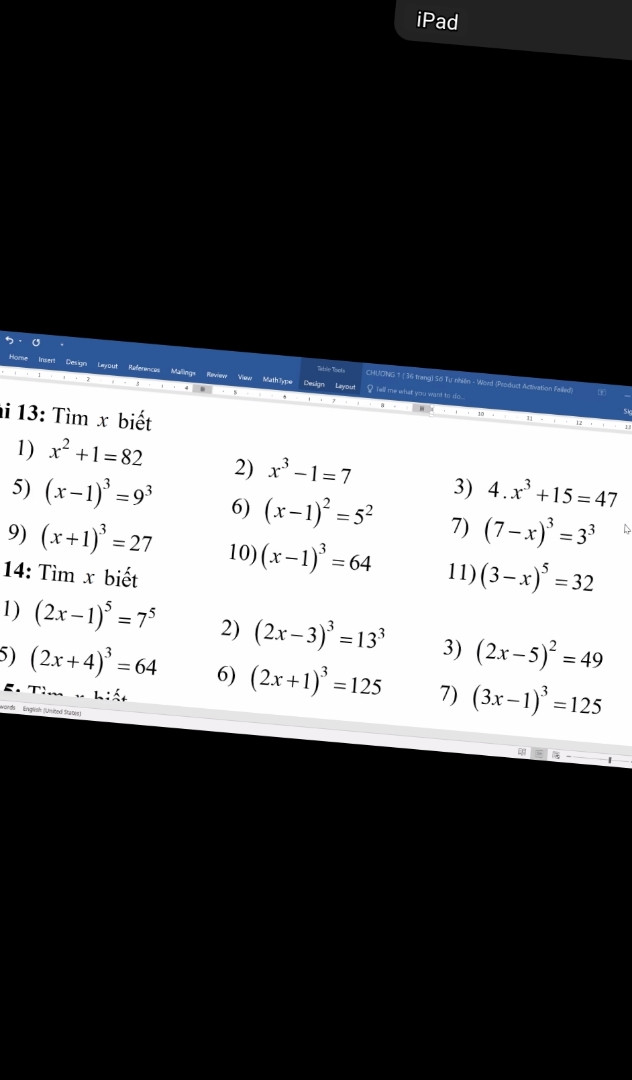
13. Tìm x biết
1. Giải phương trình x2+1=82x squared plus 1 equals 82
𝑥2+1=82
Step 1: Chuyển 1 sang vế phải
Ta có: x2=82−1x squared equals 82 minus 1
𝑥2=82−1
x2=81x squared equals 81
𝑥2=81
Step 2: Tìm giá trị của x
Lấy căn bậc hai của cả hai vế: x=±81x equals plus or minus the square root of 81 end-root
𝑥=±81√
x=±9x equals plus or minus 9
𝑥=±9
Answer: x=9x equals 9
𝑥=9
hoặc x=-9x equals negative 9
𝑥=−9
2. Giải phương trình x3−1=7x cubed minus 1 equals 7
𝑥3−1=7
Step 1: Chuyển 1 sang vế phải
Ta có: x3=7+1x cubed equals 7 plus 1
𝑥3=7+1
x3=8x cubed equals 8
𝑥3=8
Step 2: Tìm giá trị của x
Lấy căn bậc ba của cả hai vế: x=8x equals the square root of 8 end-root
𝑥=8√
x=2x equals 2
𝑥=2
Answer: x=2x equals 2
𝑥=2
3. Giải phương trình 4x3+15=474 x cubed plus 15 equals 47
4𝑥3+15=47
Step 1: Chuyển 15 sang vế phải
Ta có: 4x3=47−154 x cubed equals 47 minus 15
4𝑥3=47−15
4x3=324 x cubed equals 32
4𝑥3=32
Step 2: Chia cả hai vế cho 4
x3=324x cubed equals 32 over 4 end-fraction
𝑥3=324
x3=8x cubed equals 8
𝑥3=8
Step 3: Tìm giá trị của x
Lấy căn bậc ba của cả hai vế: x=8x equals the square root of 8 end-root
𝑥=8√
x=2x equals 2
𝑥=2
Answer: x=2x equals 2
𝑥=2
5. Giải phương trình (x−1)3=93open paren x minus 1 close paren cubed equals 9 cubed
(𝑥−1)3=93
Step 1: Lấy căn bậc ba cả hai vế
Ta có: x−1=9x minus 1 equals 9
𝑥−1=9
Step 2: Chuyển 1 sang vế phải
x=9+1x equals 9 plus 1
𝑥=9+1
x=10x equals 10
𝑥=10
Answer: x=10x equals 10
𝑥=10
6. Giải phương trình (x−1)2=52open paren x minus 1 close paren squared equals 5 squared
(𝑥−1)2=52
Step 1: Lấy căn bậc hai cả hai vế
Ta có: x−1=±5x minus 1 equals plus or minus 5
𝑥−1=±5
Step 2: Giải hai trường hợp
Trường hợp 1: x−1=5⇒x=5+1⇒x=6x minus 1 equals 5 implies x equals 5 plus 1 implies x equals 6
𝑥−1=5⇒𝑥=5+1⇒𝑥=6
Trường hợp 2: x−1=-5⇒x=-5+1⇒x=-4x minus 1 equals negative 5 implies x equals negative 5 plus 1 implies x equals negative 4
𝑥−1=−5⇒𝑥=−5+1⇒𝑥=−4
Answer: x=6x equals 6
𝑥=6
hoặc x=-4x equals negative 4
𝑥=−4
7. Giải phương trình (7−x)3=33open paren 7 minus x close paren cubed equals 3 cubed
(7−𝑥)3=33
Step 1: Lấy căn bậc ba cả hai vế
Ta có: 7−x=37 minus x equals 3
7−𝑥=3
Step 2: Chuyển 7 sang vế phải
−x=3−7negative x equals 3 minus 7
−𝑥=3−7
−x=-4negative x equals negative 4
−𝑥=−4
Step 3: Nhân cả hai vế với -1
x=4x equals 4
𝑥=4
Answer: x=4x equals 4
𝑥=4
9. Giải phương trình (x+1)3=27open paren x plus 1 close paren cubed equals 27
(𝑥+1)3=27
Step 1: Lấy căn bậc ba cả hai vế
Ta có: x+1=27x plus 1 equals the square root of 27 end-root
𝑥+1=27√
x+1=3x plus 1 equals 3
𝑥+1=3
Step 2: Chuyển 1 sang vế phải
x=3−1x equals 3 minus 1
𝑥=3−1
x=2x equals 2
𝑥=2
Answer: x=2x equals 2
𝑥=2
10. Giải phương trình (x−1)3=64open paren x minus 1 close paren cubed equals 64
(𝑥−1)3=64
Step 1: Lấy căn bậc ba cả hai vế
Ta có: x−1=64x minus 1 equals the square root of 64 end-root
𝑥−1=64√
x−1=4x minus 1 equals 4
𝑥−1=4
Step 2: Chuyển 1 sang vế phải
x=4+1x equals 4 plus 1
𝑥=4+1
x=5x equals 5
𝑥=5
Answer: x=5x equals 5
𝑥=5
11. Giải phương trình (3−x)5=32open paren 3 minus x close paren to the fifth power equals 32
(3−𝑥)5=32
Step 1: Lấy căn bậc năm cả hai vế
Ta có: 3−x=323 minus x equals the square root of 32 end-root
3−𝑥=32√
3−x=23 minus x equals 2
3−𝑥=2
Step 2: Chuyển 3 sang vế phải
−x=2−3negative x equals 2 minus 3
−𝑥=2−3
−x=-1negative x equals negative 1
−𝑥=−1
Step 3: Nhân cả hai vế với -1
x=1x equals 1
𝑥=1
Answer: x=1x equals 1
𝑥=1
14. Tìm x biết
1. Giải phương trình (2x−1)5=75open paren 2 x minus 1 close paren to the fifth power equals 7 to the fifth power
(2𝑥−1)5=75
Step 1: Lấy căn bậc năm cả hai vế
Ta có: 2x−1=72 x minus 1 equals 7
2𝑥−1=7
Step 2: Chuyển 1 sang vế phải
2x=7+12 x equals 7 plus 1
2𝑥=7+1
2x=82 x equals 8
2𝑥=8
Step 3: Chia cả hai vế cho 2
x=82x equals eight-halves
𝑥=82
x=4x equals 4
𝑥=4
Answer: x=4x equals 4
𝑥=4
2. Giải phương trình (2x−3)3=133open paren 2 x minus 3 close paren cubed equals 13 cubed
(2𝑥−3)3=133
Step 1: Lấy căn bậc ba cả hai vế
Ta có: 2x−3=132 x minus 3 equals 13
2𝑥−3=13
Step 2: Chuyển 3 sang vế phải
2x=13+32 x equals 13 plus 3
2𝑥=13+3
2x=162 x equals 16
2𝑥=16
Step 3: Chia cả hai vế cho 2
x=162x equals sixteen-halves
𝑥=162
x=8x equals 8
𝑥=8
Answer: x=8x equals 8
𝑥=8
3. Giải phương trình (2x−5)2=49open paren 2 x minus 5 close paren squared equals 49
(2𝑥−5)2=49
Step 1: Lấy căn bậc hai cả hai vế
Ta có: 2x−5=±492 x minus 5 equals plus or minus the square root of 49 end-root
2𝑥−5=±49√
2x−5=±72 x minus 5 equals plus or minus 7
2𝑥−5=±7
Step 2: Giải hai trường hợp
Trường hợp 1: 2x−5=7⇒2x=7+5⇒2x=12⇒x=62 x minus 5 equals 7 implies 2 x equals 7 plus 5 implies 2 x equals 12 implies x equals 6
2𝑥−5=7⇒2𝑥=7+5⇒2𝑥=12⇒𝑥=6
Trường hợp 2: 2x−5=-7⇒2x=-7+5⇒2x=-2⇒x=-12 x minus 5 equals negative 7 implies 2 x equals negative 7 plus 5 implies 2 x equals negative 2 implies x equals negative 1
2𝑥−5=−7⇒2𝑥=−7+5⇒2𝑥=−2⇒𝑥=−1
Answer: x=6x equals 6
𝑥=6
hoặc x=-1x equals negative 1
𝑥=−1
5. Giải phương trình (2x+4)3=64open paren 2 x plus 4 close paren cubed equals 64
(2𝑥+4)3=64
Step 1: Lấy căn bậc ba cả hai vế
Ta có: 2x+4=642 x plus 4 equals the square root of 64 end-root
2𝑥+4=64√
2x+4=42 x plus 4 equals 4
2𝑥+4=4
Step 2: Chuyển 4 sang vế phải
2x=4−42 x equals 4 minus 4
2𝑥=4−4
2x=02 x equals 0
2𝑥=0
Step 3: Chia cả hai vế cho 2
x=02x equals 0 over 2 end-fraction
𝑥=02
x=0x equals 0
𝑥=0
Answer: x=0x equals 0
𝑥=0
6. Giải phương trình (2x+1)3=125open paren 2 x plus 1 close paren cubed equals 125
(2𝑥+1)3=125
Step 1: Lấy căn bậc ba cả hai vế
Ta có: 2x+1=1252 x plus 1 equals the square root of 125 end-root
2𝑥+1=125√
2x+1=52 x plus 1 equals 5
2𝑥+1=5
Step 2: Chuyển 1 sang vế phải
2x=5−12 x equals 5 minus 1
2𝑥=5−1
2x=42 x equals 4
2𝑥=4
Step 3: Chia cả hai vế cho 2
x=42x equals four-halves
𝑥=42
x=2x equals 2
𝑥=2
Answer: x=2x equals 2
𝑥=2
7. Giải phương trình (3x−1)3=125open paren 3 x minus 1 close paren cubed equals 125
(3𝑥−1)3=125
Step 1: Lấy căn bậc ba cả hai vế
Ta có: 3x−1=1253 x minus 1 equals the square root of 125 end-root
3𝑥−1=125√
3x−1=53 x minus 1 equals 5
3𝑥−1=5
Step 2: Chuyển 1 sang vế phải
3x=5+13 x equals 5 plus 1
3𝑥=5+1
3x=63 x equals 6
3𝑥=6
Step 3: Chia cả hai vế cho 3
x=63x equals six-thirds
𝑥=63
x=2x equals 2
𝑥=2
Answer: đố giải dc
1. Giải phương trình x2+1=82x squared plus 1 equals 82
𝑥2+1=82
Step 1: Chuyển 1 sang vế phải
Ta có: x2=82−1x squared equals 82 minus 1
𝑥2=82−1
x2=81x squared equals 81
𝑥2=81
Step 2: Tìm giá trị của x
Lấy căn bậc hai của cả hai vế: x=±81x equals plus or minus the square root of 81 end-root
𝑥=±81√
x=±9x equals plus or minus 9
𝑥=±9
Quảng cáo
Bạn cần hỏi gì?
Câu hỏi hot cùng chủ đề
-
Đã trả lời bởi chuyên gia
Điền vào chỗ trống trong bảng thanh toán sau:
Số thứ tự Loại hàng Số lượng (quyển) Giá đơn vị (đồng) Tổng số tiền (đồng) 1 Vở loại 1 35 2000 ... 2 Vở loại 2 42 1500 ... 3 Vở loại 3 38 1200 ... Cộng: ... 171529 -
Đã trả lời bởi chuyên gia
79589 -
Đã trả lời bởi chuyên gia
64095 -
Hỏi từ APP VIETJACK
Đã trả lời bởi chuyên gia
40387 -
Đã trả lời bởi chuyên gia
36254 -
Đã trả lời bởi chuyên gia
33021



