Giúp mình câu này với
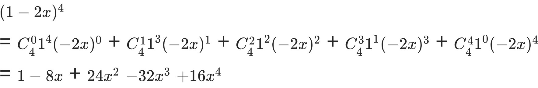
Khai triển:
Quảng cáo
1 câu trả lời 165
Quảng cáo
Bạn cần hỏi gì?
Câu hỏi hot cùng chủ đề
-
Đã trả lời bởi chuyên gia
17744 -
Đã trả lời bởi chuyên gia
10823 -
Đã trả lời bởi chuyên gia
9360 -
Đã trả lời bởi chuyên gia
7647 -
Đã trả lời bởi chuyên gia
6508 -
Đã trả lời bởi chuyên gia
5346
Gửi báo cáo thành công!

