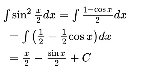
Tìm nguyên hàm của hàm số sau ∫sin^2 x/2
Quảng cáo
2 câu trả lời 244
Quảng cáo
Bạn cần hỏi gì?
Câu hỏi hot cùng chủ đề
-
Đã trả lời bởi chuyên gia
40933 -
Đã trả lời bởi chuyên gia
29238 -
Đã trả lời bởi chuyên gia
24526
Gửi báo cáo thành công!

