Hải Yến Đỗ
Hỏi từ APP VIETJACK
Tính bằng cách thuận tiện nhất:
@ 56,2+9,7+4, 3+327, 8
@ 56,2+9,7+4, 3+327, 8
Quảng cáo
3 câu trả lời 764
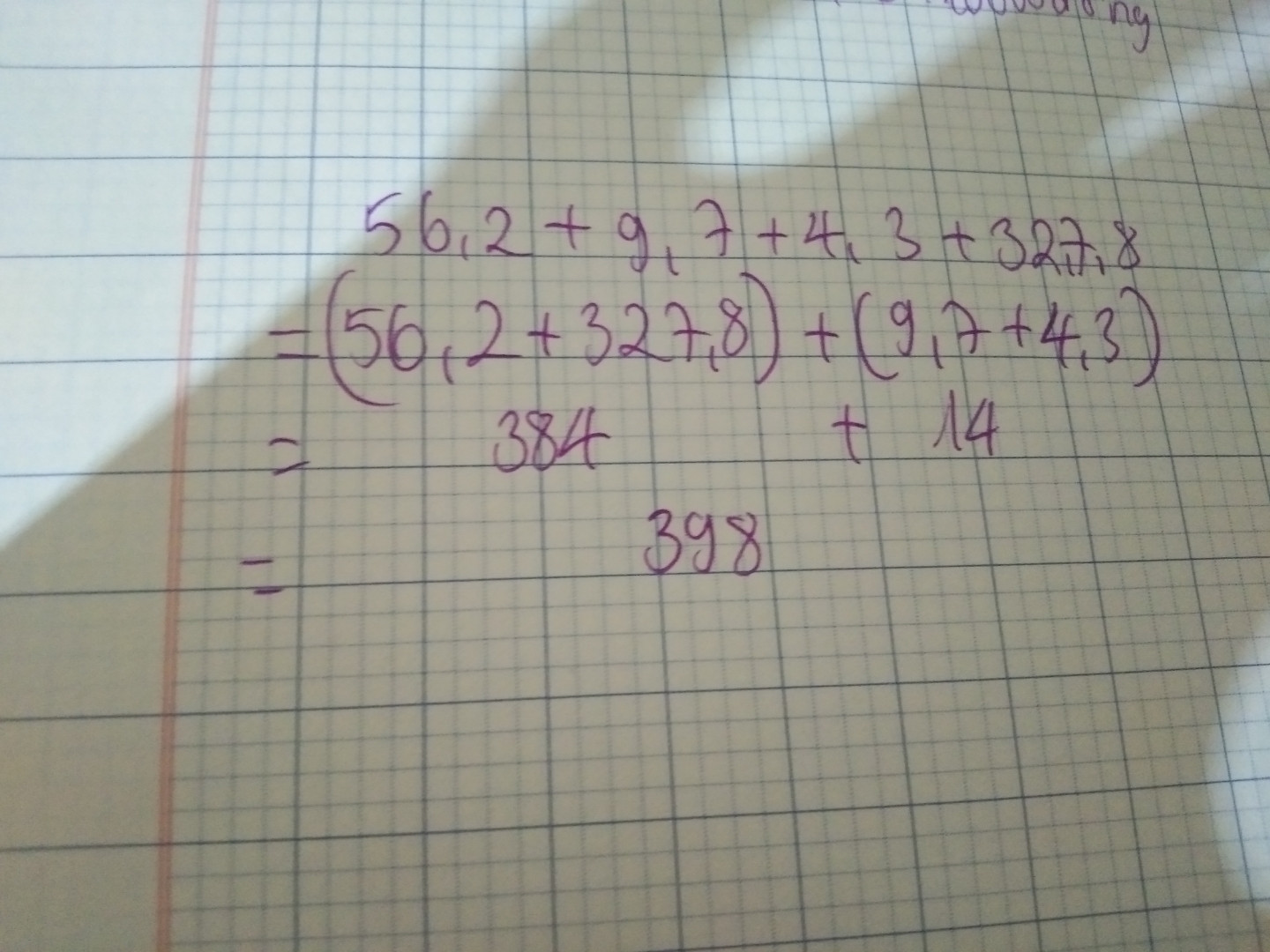
`56,2+9,7+4, 3+327, 8`
`=(9,7+4,3)+(56,2+327,8)`
`=14+384`
`=398`
`@CREAM`
Quảng cáo
Bạn cần hỏi gì?
Câu hỏi hot cùng chủ đề
-
Đã trả lời bởi chuyên gia
64384 -
Hỏi từ APP VIETJACK
Đã trả lời bởi chuyên gia
58843 -
Đã trả lời bởi chuyên gia
49966 -
Đã trả lời bởi chuyên gia
46322 -
Đã trả lời bởi chuyên gia
40545 -
Đã trả lời bởi chuyên gia
36851 -
Đã trả lời bởi chuyên gia
31063 -
Hỏi từ APP VIETJACK
Đã trả lời bởi chuyên gia
30995
Gửi báo cáo thành công!
