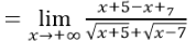
bằng:
A. +∞
B. 4
C. 0
D. -∞
Quảng cáo
1 câu trả lời 3462
Quảng cáo
Bạn cần hỏi gì?
Câu hỏi hot cùng chủ đề
-
Đã trả lời bởi chuyên gia
38238 -
Đã trả lời bởi chuyên gia
31938 -
Đã trả lời bởi chuyên gia
21220 -
Đã trả lời bởi chuyên gia
20813 -
Đã trả lời bởi chuyên gia
19517
Gửi báo cáo thành công!

