bằng:
A. 5/7
B. 5/2
C. 1
D.+∞
Quảng cáo
1 câu trả lời 4553
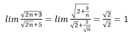
Chia cả tử và mẫu của phân thức cho , ta được:

Đáp án là C
Quảng cáo
Bạn cần hỏi gì?
Câu hỏi hot cùng chủ đề
-
Đã trả lời bởi chuyên gia
38238 -
Đã trả lời bởi chuyên gia
31938 -
Đã trả lời bởi chuyên gia
21220 -
Đã trả lời bởi chuyên gia
20813 -
Đã trả lời bởi chuyên gia
19517
Gửi báo cáo thành công!
