bằng:
A. 0
B. 1
C. 2
D. +∞
Quảng cáo
1 câu trả lời 354
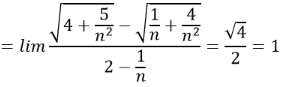
- Cách 1: Chia tử thức và mẫu thức cho n:


Đáp án là B
- Cách 2: Thực chất có thể coi bậc cao nhất của tử thức và mẫu thức là 1, do đó chỉ cần để ý hệ số bậc 1 của tử thức là √4, của mẫu thức là 2, từ đó tính được kết quả bằng 1. Đáp án B
Quảng cáo
Bạn cần hỏi gì?
Câu hỏi hot cùng chủ đề
-
Đã trả lời bởi chuyên gia
38238 -
Đã trả lời bởi chuyên gia
31938 -
Đã trả lời bởi chuyên gia
21220 -
Đã trả lời bởi chuyên gia
20813 -
Đã trả lời bởi chuyên gia
19517
Gửi báo cáo thành công!
